类型:休闲益智 版本:v7 大小:39MB 更新:2025/05/30 10:54:02 语言:简体中文 等级: 平台:Android
inkitt小说无广告版最新版
25.83MB
休闲益智
symbolab微积分计算器手机版
140.3MB
休闲益智
贴贴官网版
96.12MB
休闲益智
crosshairpro准星辅助器最新版
8.34MB
休闲益智
crosshairpro官方准星软件官网版
24.84MB
休闲益智
18游戏盒子官网最新版
28.18MB
休闲益智
美拉养成日记app最新版
50.71MB
休闲益智
EHentai漫画正版安卓版
45.43MB
休闲益智
软件介绍
另一款名为《吸血鬼幸存者》的中文版游戏是一款极其有趣的轻度肉鸽游戏,其中所有的经典吸血鬼幸存者元素都会在游戏中逐一展现。玩家可以体验到各种不同的竞技挑战,并随时开始一场冒险战斗。这款游戏的玩法十分简单,没有复杂的操作,英雄会自动发起攻击。战胜敌人后,英雄会获得经验值,当经验值累积到一定程度时,英雄就会升级,并随机获得三张等级在1至9之间的卡片,每张卡片都拥有独特的属性加成。玩家可以选择更强大的技能,只要在15分钟内成功存活下来,就可以通关。
在另一款生存游戏中,玩家可以获得八种不同类型的卡片,包括攻击、攻击速度、暴击、伤害增加、反弹、群体攻击等。经验和祈福被视为成长类卡片,而其他卡片则属于战斗力类。经验和祈福主要增强玩家的后期能力,而战斗力卡片决定了玩家的每秒伤害输出。因此,如果玩家的每秒伤害远超推荐值,那么选择经验和祈福会更有利;反之,则应选择提高每秒伤害的卡片,以增加自身的生存机会。

- 不太一样的吸血鬼幸存者like游戏
- 无摇杆,15分钟生存,玩法简单
- 收集星星,无限成长
进入游戏,选择游戏名和角色性别,先创建一个角色;

然后进入游戏首页,如果是新手的话,点击进入新手引导;

游戏开始后,英雄会自动攻击,击败敌人后,英雄会获得经验;

每次击败后英雄就会升级,并会随机获得3张1-9级的卡片,同时也会获得一些集星进度,选择一张卡片继续游戏;

如果你选择了群体攻击卡牌,那么当群体攻击比例达到或超过100%时,全部攻击力的数量将是群体攻击除以100后的向下取整数到向上取整数之间。群体攻击的最大值是1000%,一旦群体攻击达到或超过1000%,剩余的群体攻击将会自动转换为额外伤害。每张卡牌都有不同的属性加成。

之后,玩家根据自己的需求,选择不同的卡片,直至游戏结束;

返回主页后,点击开始游戏;

之后玩家就选择自己想要的卡牌,开启收割吧。


属性包含6维,加点也是平均分配。前期星星不够用,加点有优先级。
个人建议:前期加点顺序是分身1级、进阶1级、属性点、祝福1级、收获1级、剑雨1级,之后再分身、进阶、属性点不断循环。属性点加多少看你自己喜欢,剑雨看你感觉去加。
主要是我只有五百多星星,后期啥样我也猜不到,感觉技能加到5级就够了,后期是加属性为主,属性是六次方,提升幅度太大了。
原因:
属性点问题。属性点是战斗中卡片和羁绊增加的百分比,对战斗提升很大。
这是没加属性的情况下1级暴击是12%


属性加到9级后,此时的暴击1级从12%增加到17.4%,增幅45%。

技能问题。
分身和进阶提升的输出是实打实的,对所有伤害均有加成。
剑雨技能容易导致伤害溢出,一旦触发也无大碍,关键在于剑雨有输出上限,群体攻击反弹最多能触发9次,攻击速度一秒内具体多少次记不清了,总之都是有限制的,超过这个限制只会增加伤害,然而这些额外的伤害剑雨无法受益。不过在游戏初期使用还是勉强可以接受的。
祝福这东西,只对卡牌有加成,对羁绊没有加成,点1级拼脸就行,不值得多点。
收获更坑,概率低,加的属性不稳定,点1级拼脸就行。
嗜血加的伤害也是实打实的,但前期实在没啥用,而且加的系数太低了,后面才慢慢追上来。前期不建议加。
首先,我要指出的是,我发现分身可以触发进阶。对于分身是否能够触发剑雨,我没有看清楚,但我觉得应该是可以的。至于进阶能否触发剑雨,我真的无法判断。如果不能触发的话,那么剑雨的表现将会更加糟糕,它不能与其他技能和属性点的系数相乘,造成的伤害可不仅仅是轻微的。
游戏阶段及玩法
学前
如果你还没有通关第一次,这是一个肉鸽选卡游戏,那么主要要讲的是怎么选卡。
1秒伤
在战斗界面,如图

这款游戏的关键在于,如果你的每秒伤害值超过推荐值,那么你就有很大的机会能够生存下来;相反,如果低于推荐值,你可能会很快死亡。请注意,这里的每秒伤害值在前,推荐值在后,即5788代表每秒伤害值,而5281则是推荐值。因此,游戏的策略就是如何选择牌组以使你的每秒伤害值最大化。
2选牌原则
总共8种卡牌类型,经验和祈福可以算作成长类卡牌,其他的都是战力类卡牌。经验祈福提供的是后期能力,而战力卡牌构成了秒伤。
大致原则是,当你的秒伤远高于推荐的时候,选择经验和祈福,否则选秒伤牌。选牌时一般选择等级高的卡或者+2的卡,如果都差不多选择牌少的那个。如果秒伤比较吃紧可以去凑羁绊提战力。
这里要提到的是,攻击、攻速、暴击、增伤、弹射、群攻里面没有哪个比哪个好的说法,均衡的加点能最大化秒伤。经验和祈福相比,经验偏重前中期,祈福妥妥大后期,并且祈福是指数级增长的后期牌。
入门
基本上注意以上的点就能够通过第一关了。来到难度5以上,这个游戏就变成了一个养成游戏,你会发现随着难度的提升,基本上打不过。就需要利用星星进行加点,提供场外的天赋能力。
星星比较少,例如50一下的时候,可以选择点技能,收获、分身是比较好的,可以各加一级。
星星多起来的时候,不能都加在技能上,要匀一半给属性点,属性点加点要均衡,各一级。
关于技能的点法我不太清楚,各种的都有。看到论坛里常见的就是分身和进阶各6级,其余的收获和祝福点1级。群里榜一大佬难二都不会好像说平均加,收获和祝福可以多加一点。


这是我目前的点法,大家随意参考一下,关键点是要点属性,均衡点。
进阶
这款游戏在此阶段变得异常艰难,你必须不断战斗,但往往难以取胜,只能勉强获得一些星星,只有星星等级提高后才能继续后面的关卡。同时,其选卡策略相对单一,长时间游玩会失去乐趣。与放置类游戏不同,它要求玩家持续参与战斗,而且战斗过程并不轻松,游戏提供的自动模式和AI选卡模式都显得不够聪明,无法取得显著进展,玩家仍需手动选卡。
1选卡逻辑量化
我想了想选卡逻辑其实不太难的,我在游戏里也找不到可以设置选卡逻辑的地方,于是干脆自己造一个

大致想法就是 1学前 里所说的选卡逻辑,并量化出来了,计算卡牌价值的伪代码如下
step1 卡牌价值 = 卡牌等级 + 基础价值bias
step2 如果是两张卡,卡牌价值 = 卡牌价值 x 2
step3 如果是祝福卡,卡牌价值 = 卡牌价值 x 1.2
step4 如果是两张卡, 卡牌价值 = 卡牌价值 + 1
step5 如果选卡之后羁绊会升级,卡牌价值 = 卡牌价值 + 5
step6 如果卡牌类型是祈福, 卡牌价值 = 卡牌价值 + 祈福补偿
step7 如果卡牌类型是经验, 卡牌价值 = 卡牌价值 + 经验补偿
在此设计中,祈福和经验补偿设定如下:当秒伤推荐比大于或等于2时,祈福补偿为1000,以确保其他秒伤牌不会被选择;反之,如果秒伤推荐比低于某个特定数值,例如1,那么祈福补偿设置为-1000,从而避免祈福牌被选中。
其中,基础价值bias是为了平衡双卡算法的,step4 +1的想法是因为双卡有一个增加羁绊的好处。
计算完每一张卡的价值后,选择价值最大的那张卡。
2测试猫
有了核心的选卡逻辑,后面就是用程序来自动化,我用到的工具是 测试猫,需要电脑连接安卓手机,JavaScript语言。
上手超级简单,我一个没接触过java的人10分钟就学会了。大家稍微看一下,很快就学会了。这个环节也是我乐趣最大的一个阶段,我写了我人生当中第一个游戏脚本。
高阶
经过阶段3,那么这个游戏已经是一个放置游戏了。那么乐趣就回归到如何更合理的选卡,这就成为一个数学建模游戏。以下是一些我的头脑风暴,还没有入手。主要是懒得动脑想公式,想用强化学习来做。
1数学模型构建
1.1目标函数
这个游戏的核心其实,怎么选卡使得秒伤最大,这个秒伤还不是当期的秒伤最大,还包括了未来至游戏结束内的秒伤最大,并且该秒伤要大于推荐秒伤。
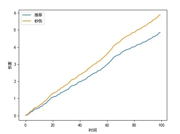
可以在坐标轴内对秒伤和推荐秒伤画两条曲线,纵坐标是伤害,横坐标是时间

如图橙色是秒伤曲线,蓝色是推荐曲线。这样游戏的目标可以定义为这两条曲线间的面积最大化
max loss = 求和 Dy(t, pi) - Ds(t)
其中Dy(t, pi)为t时刻,采取选卡策略pi下的秒伤, Ds(t)为t时刻的推荐秒伤
有约束条件s.t. Dy(t, pi) >= Ds(t),即保证在过程中保证秒伤不低于推荐
1.2网络及输入输出
Dy(t, pi)的函数形式考虑用全连接网络就够了
输入选卡时三张卡的信息,已有的这堆数据,如下图

可能还需要技能加点数据和时间数据。
技能加点不好归一化,可以考虑借鉴transformer里面的embedding的做法,一种技能一个等级视作一个类别,然后建立一个查询table。但是也可以先不管加点,视作统一的加点来做这个模型。
加入时间数据是考虑到推荐秒伤可能在某些时间点暴涨
结语
人玩游戏,不是游戏玩人。希望大家保持学习,保持进步,生命珍贵,不要沉溺于肤浅的欲望之中。
一、第一步开局
找经验或祈福尽量追到4/4(现在开始马上停手)
要是没有这俩怎么办呢?尽量找等级高的卡,最好每个羁绊凑个2/2,这样稳定过前期。
第二步中期选择
这时候基本稳住局面了(没稳住的出门右转,下一把??)。一般现在分情况讨论卡片选择。
第一种情况:大优势,指秒伤是推荐伤害1倍以上(这种一般都是前面脸比较好的),这时候我们尽量选祈福,副选经验,不然后期几分钟可能打不过。
第二种情况:均势或者小劣势,指秒伤略高于或低于推荐伤害。这种情况千万不要选祈福和经验,不然逃不掉暴毙的命运,尽量凑羁绊,把伤害羁绊追9/9。(大多数情况都能稳住)
第三步收尾阶段
对于刚开始游戏时没有星星的新手玩家而言,这阶段仍然具有相当的挑战性(高手们请忽略此段文字)。我建议,如果你的伤害输出增长迅速,那么大约需要达到每秒40万的伤害值才能通过这一关卡。能否顺利度过这个时期,取决于你在游戏中期的运营策略以及是否正确使用了祈福点。至少要确保祈福点达到9/9,经验值达到4/4,这样才有可能通关。如果一次未能通过,可以尝试多次。
二、关于星星的选择上
有十五颗星就先点收获(这个特别重要)
剩余零散的星就把每个属性点一些
30星了就点分身上,这个公测感觉祝福是真被砍废了(尽量通关没压力了再点)。
升星小技巧,打到第五关一直刷这一关,目前第一星星那个就是这么操作的。
星星:天赋点&等级,用于提升属性与技能;
金币:抽怪用,怪够的时候尽量不用;
体力:不是一直输基本上用不完;
离线经验:提升星星等级需要的经验;
吸血鬼幸存者 肉鸽游戏 卡牌收集
文件大小:39MB
当前版本:v7
更新时间:2025/5/30
Stone Squad
咒语旅团手机版
超能合体鸭游戏2025
再生之境
闪烁之光
放置觉醒
卧龙三国
史诗王座卡牌对战(Clash of Thrones)
风暴尖塔
ClashRoyale
皇室战争(内购版
星际52区
秘境对决
三国的后裔正版
superstarjypnation最新版
inkitt小说无广告版最新版
25.83MB
1.0.0
symbolab微积分计算器手机版
140.3MB
0.9.4
贴贴官网版
96.12MB
1.1.0
crosshairpro准星辅助器最新版
8.34MB
5.6
crosshairpro官方准星软件官网版
24.84MB
2.0.1
18游戏盒子官网最新版
28.18MB
1.0.9
美拉养成日记app最新版
50.71MB
1.0.2
EHentai漫画正版安卓版
45.43MB
1.0